관절 건강 관리에 도움이 된다고 다양한 언론 매체를 통해 이만기 아저씨가 광고 중인 호관원 프리미엄 골드 정말 효과, 효능은 좋은지? 그리고 가격은 얼마나 하는지 확실하게 파헤쳐 보도록 하겠습니다.
현재 관절염이나 통증으로 영양제나 건강기능식품을 찾고 계신분들께서는 본문 내용을 꼼꼼히 읽어보시면 결정하시는데 도움을 얻을 수 있을 것입니다.
호관원

동진제약에서 개발한 관절 연골 건강에 도움을 줄 수 있는 대한민국 식약처로부터 기능성을 인증받은 핵심 원료 MSM을 주요 핵심 성분으로 개발된 건강 기능 식품입니다. 관련 분야에서 매년 다양한 수상을 차지하는 등 판매량이나 대중들에게 매우 인지도가 높은 브랜드입니다.
핵심 성분
주요 핵심 원료 성분은 우리 몸에 어떤 효과를 기대할 수 있을까요? 호관원 효능을 자세하게 알아볼까요?

MSM 효과 & 효능
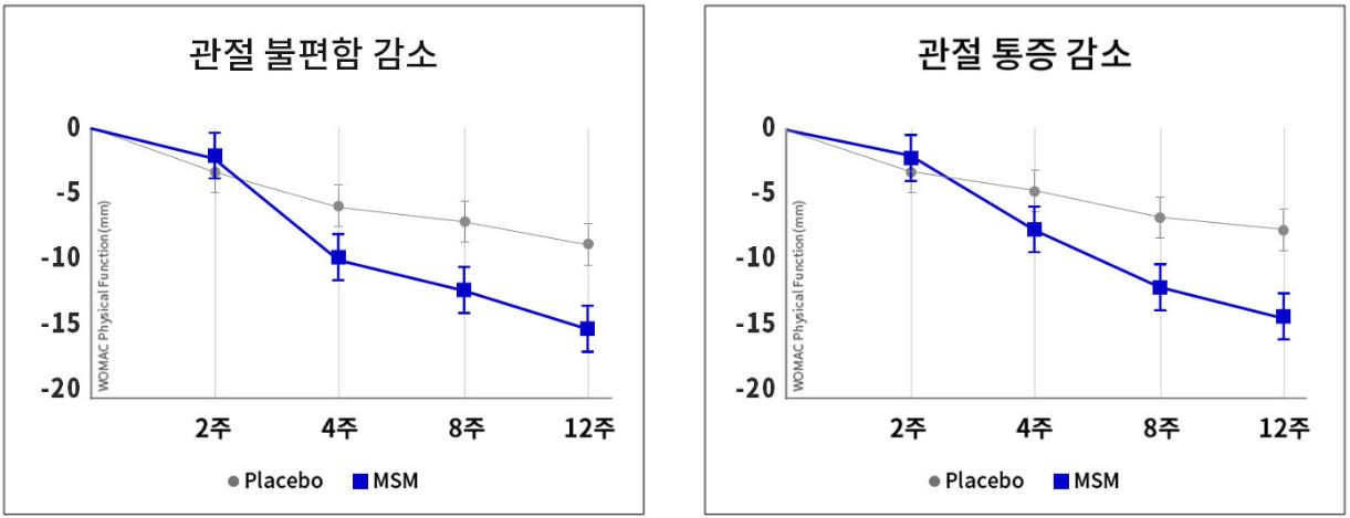
첫 번째, 주요 핵심 성분은 MSM입니다. 식이유황으로 널리 알려져 있으며 섭취 가능한 유황을 의미합니다. 황은 평소 일상생활 속에서도 여러 섭취 가능한 식품군에 사용됩니다. msm 주요 효능과 효과는 다음과 같습니다.

실제 특정 나이대를 대상으로 무릎 관절이 불편한 성인 60명에게 12주간 MSM에 대한 인체적용시험 진행 결과 관절 통증 감소 및 관절 붓기와 뻐근함 등 불편했던 부위가 유의적으로 개선됨이 다양한 실험을 통해 입증되었습니다.
- 관절, 연골 : 연골 조직을 구성하는 성분 중 하나인 황을 함유하고 있어 관절 건강에 도움.
- 염증 완화 : 신체 내 염증을 완화하는데 도움을 주는 화학물질인 메틸화황을 생성.
- 항균 작용 : 항균 작용으로 감염 예방에 도움.
- 소화 개선 : 소화 기능을 개선하는 데 도움을 줍니다.
- 면역력 : 면역력 강화에 도움을 줍니다.
- 피부 건강 개선 : 피부의 탄력을 유지하고 재생을 촉진하는 데 도움.
칼슘 효과 & 효능
두 번째, 주요 핵심 성분은 칼슘입니다. 해조칼슘, 젖산칼슘을 함유하고 있는데요 우리 인체에 매우 중요한 미네랄의 한 종류입니다. 체내 흡수율이 높다는 특징이 있는데요, 젖산칼슘은 음식으로 먹기에는 흡수율이 높지 않아서 영양제로 챙겨 먹는 분들도 많습니다.
- 뼈 건강 개선 : 뼈 건강을 유지하는 데 중요한 역할을 합니다. 충분한 칼슘 섭취는 골다공증 등 뼈 관련 질환 예방에 도움.
- 치아 건강 개선 : 치아 건강을 유지하는 데 중요한 역할을 합니다. 치아 우식 예방.
- 신경 기능 개선 : 신경 기능을 개선하는 데 도움을 줍니다. 뇌와 신경계에서 신호 전달에 필요한 미네랄의 일종입니다.
- 근육 기능 개선 : 근육 수축과 이완에 필요한 미네랄 중 하나입니다. 근육 기능을 개선.
상기 두 가지 핵심 원료 외에도 호관원 프리미엄 골드에는 녹용, 버드나무추출물, 황기, 작약, 천궁, 숙지황, 당귀, 감초 같은 건강에 도움을 주는 여러 한약 재료를 함유하고 있습니다.
호관원 효과?
관절, 연골 건강에 도움을 주는 주요 핵심 성분을 함유한 제품으로 관절 연골 세포 활성화에 도움을 주며, 핵심 원료는 국내 식품의약품안전처로부터 관절이나 연골 건강에 도움을 줄 수 있는 성분으로 정식 인정받은 기능성 원료로 안전하고 믿을 수 있습니다.
개인별 효과 차이는 다를 수 있고 사람들 마다 의견이 다르지만 식약처에서 인정한 원료를 사용하기 때문에 안정성은 믿을 수 있다는 것은 공통적인 의견입니다.
가격은 얼마?
이 제품 호관원 프리미엄 가격 (골드)은 정확하게 알 수가 없는데요 인터넷 검색을 통해 두루 알아본 결과 1개월치는 대략 평균 30만 원 중반대의 가격에 구입 가능한 것으로 확인됩니다.
만약, 선물 용도나 실제 관절 건강이 좋지 않아 구입 의사가 있으시다면 정식 온라인 공식 판매처를 통해 여러 곳을 꼭! 비교해 보시고 가장 유리한 조건으로 조금이라도 저렴한 가격에 구입하시는 것을 권유드립니다.
비슷한 성격의 다른 관절 건강기능식품도 시간 나실 때 알아보시고 특징이나 차이점을 따져보고 가격등 가성비를 꼭 비교해 보시고 결정하시는 것이 좋습니다.
맺음말
연골이나 관절은 정상적인 기능을 잃게 되면 예전과 같은 건강한 상태로 돌아가기가 매우 어렵다고 합니다. 건강을 유지하거나 지키는 가장 좋은 방법은 평소 일상생활에서의 건강한 식습관을 지키는 게 중요하며 이와 더불어 지속적인 운동을 병행하는 것이 중요합니다.
하지만, 바쁘게 돌아가는 일상생활 속에서 알면서도 매우 지키기 어려운데요. 이럴 경우 "호관원" 같은 건강기능식품의 도움을 얻어 우리 몸에 필요한 영양성분을 보충해 줌으로써 조금이라도 건강을 유지하는데 도움을 얻는 것도 하나의 방법이 될 수 있습니다.



